В этой статье собраны наиболее интересные и сложные случаи пределов, решение которых требует определенных навыков и знаний. В большинстве случаев, пределы, изучаемые в
базовом курсе высшей математики, просты и решаются в одно-два действия. Однако иногда приходится сталкиваться со сложными примерами пределов, которые чтобы решить
нужно знать хитростные способы. Рассмотрим же их!
Пример 1. Решить предел

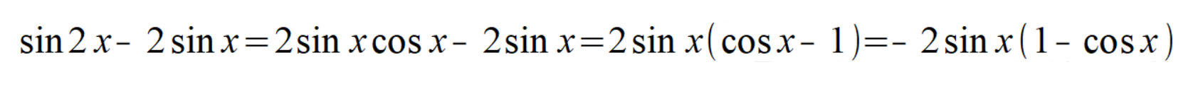
Чтобы решить данный предел, необходимы знания по теме первый замечательный предел и эквивалентные бесконечно малые функции. Ну а в начале долгого пути, нам предстоит сделать преобразования в числителе, используя свойства тригонометрических функций, и в знаменателе, используя обманный ход, но обо всем по порядку. Начнем с числителя, представим

в равнозначной записи и запишем числитель уже в новой форме:

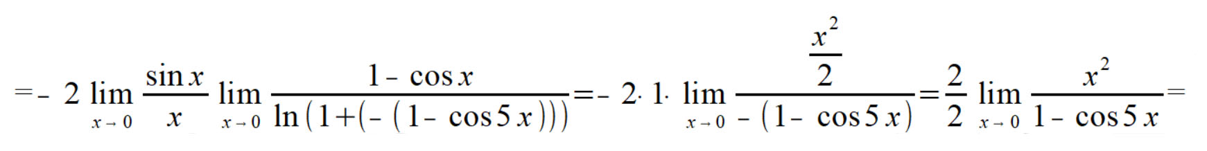
Тот факт, что x стремится к нулю, позволяет нам считать что в будущем можно будет использовать свойства эквивалентных бесконечно малых. Поэтому, обращаем внимание на
логарифм, стоящий в знаменателе. Если его немного «отредактировать» и привести к нужному виду, то его смело можно будет использовать для получения эквивалентных
значений. Обращаемся к таблице эквивалентных бесконечно малых величин и видим, что для счастья нам не хватает единицы. Вот здесь-то мы и используем способ (как я его
называю) «искусственного добавления» числа:

Все довольно просто, мы не нарушая баланса выражения, добавили и убавили единицу к косинусу. С учетом всех знаков , преобразуем выражение:

В результате наших действий, мы получили идеальных кандидатов на эквивалентные замены. В числителе вынесли знак минус за скобки, получив тем самым

в знаменателе подготовили выражение с логарифмом. С ними все понятно, что же делать в синусом? Все просто, используем первый замечательный предел и получаем законную
единицу. Вычисляем:



Краткие пояснения к тому, какие эквивалентные замены были произведены, а также как был использован первый предел:

— первый предел, при

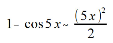
Отдельной строкой хотелось бы остановиться на третьей формуле. Как известно, эквивалентная малая для логарифма выглядит следующим образом:
ln(1+x) ~x
В нашем случае, в роли х выступала вся скобка (-(1-cos(5x))).
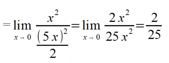
Далее, мы повторно используем правило, но только уже для случая с косинусом:

при

В нашем случае, cos(x) — это cos(5x) и соответствующая замена была такой:

при

Ну вот и все. Предел был непростым, но интересным, и его решение, надеюсь, было вам понятным.