Рассмотрим задачи на нахождение областей в комплексной плоскости, заданных неравенствами. Чтобы решить данные неравенства с комплексными числами, вначале необходимо перейти к декартовым координатам, т.е. перейти к действительному представлению.
Чтобы представить комплексное число в действительной форме, нужно заменить комплексную переменную z действительными переменными x и y, а именно z = x + iy, где
x = Re(z), y = Im(z).
Пример 1. Найти на комплексной плоскости множество точек, удовлетворяющих неравенству
|z + i| < 2.
Решение неравенства с комплексными числами начинается с представления числа в действительной форме. Неравенство примет вид:

или

Для того, чтобы избавиться от ограждающего знака модуля, используют стандартную замену:

или

Как мы знаем из начальных уроков, |z| это модуль комплексного числа, х — действительная часть комплексного числа, y — это мнимая часть комплексного числа, которая находится в связке с мнимой единицей. Итоговый ответ, область решения — это часть плоскости, расположенная внутри круга

Пример 2. Изобразить на комплексной плоскости множество точек, удовлетворяющих неравенству

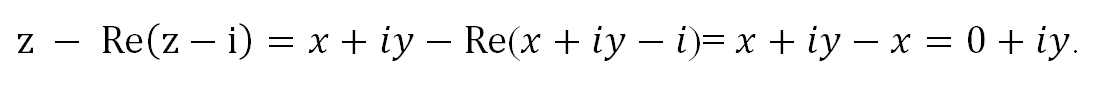
Заменяем переменную z представлением в действительной форме z = x + iy, приводим подобные члены, берем действительную часть от получившегося комплексного числа и
приводим к стандартному виду получившееся комплексное число:

Областью решения неравенства

является плоскость, расположенная выше прямой у = 1. Рисунок не прикрепляю, все просто — чертим прямую у = 1 и штрихуем область выше этой прямой.
Чтобы изобразить область, заданную несколькими неравенствами, нужно изобразить области, задаваемые отдельными неравенствами, а затем найти их общую часть.
Пример 3. Построить область, заданную неравенствами

Вначале, заменяем z=x+iy, затем группируем подобные члены, чтобы сформировать действительное представление комплексного числа.
Первое неравенство задает внешнюю часть окружности радиуса 1 с центром в точке (-1; 0) с границей (белый круг). Второе неравенство задает внутреннюю часть окружности радиуса 1 с центром в точке (0; -1) без границы.
Сделаем рисунок в качестве графического доказательства. Область окружности, закрашенная зеленым цветом, является графическим ответом к решению заданного неравенства с комплексными числами:
